找回密码
 立即注册

QQ登录

只需一步,快速开始

搜索
查看: 10647|回复: 0
收起左侧

理解功率MOSFET的Coss产生损耗

[复制链接]
ID:140840 发表于 2017-3-28 10:27 | 显示全部楼层 |阅读模式
功率MOSFET的Coss会产生开关损耗,在正常的硬开关过程中,关断时VDS的电压上升,电流ID对Coss充电,储存能量。

在MOSFET开通的过程中,由于VDS具有一定的电压,那么Coss中储能的能量将会通过MOSFET放电,产生损耗。
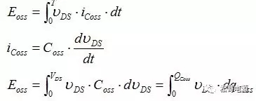
许多资料中,理论的Coss放电产生的损耗为:

1.webp.jpg


从上式可以看到,Coss放电产生的损耗和容值、频率成正比,和电压的平方成正比。在功率MOSFET的数据表中,Coss对应产生的功耗就是Eoss。

一些低输入电压的应用,如笔记本电脑主板的Buck变换器输入电压为19V,通讯系统板极Buck变换器输入电压为12V,由于工作电压比较低,Coss产生的损耗较小,相对于跨越线性区产生的开关损耗通常可以忽略不计,因此在低压功率MOSFET的数据表中,通常不会列出Eoss。

常用的ACDC变换器如Flyback结构的电源系统,输入的电压范围为100-380VDC,甚至更高的输入电压,Coss产生的损耗所占的比例非常大,甚至成为主导因素,因此在高压功率MOSFET的数据表中,列出Eoss的值。目前有些中压的功率MOSFET的数据表中也列出了Eoss的值。

功率MOSFET的电容特性是非线性的,Coss容值会随着VDS电压变化,因此基于Coss的Eoss也是非线性的,如下图所示。因此,如本文开始部分,直接使用传统电容储能的公式电容的放电损耗是不正确的。

2.webp.jpg
图1:AON6162的Coss和Eoss曲线

Coss曲线的测量方法前面的文章已经介绍过,对Coss的曲线积分,可以得到Qoss:

3.webp.jpg


如图2所示,VDS为30V时对应的Qoss就是图中Coss曲线、水平X轴、VDS=30V垂直线和垂直Y轴所包围的面积。在不同的电压下得到不同的Qoss,就可以作出Qoss-VDS曲线。

4.webp.jpg
图2:基于Coss计算Qoss

5.webp.jpg
图3:AON6162的Qoss曲线

那么如何得到Eoss?可否根据Qoss-VDS的曲线,再对Qoss积分,就可以得到Eoss?

6.webp.jpg


                             
电容Coss随VDS电压变化,不同的电压下容值不同,因此不能使用上面积分的方法来计算Eoss。

考虑到电容Coss随VDS电压变化,为了计算VDS-Eoss曲线,VDS电压从0开始,使用小的电压增幅间隔,例如:0.5V、1V、1.5V、2V、2.5V、3V、3.5V、。。。60V,在不同的电压下可以得到相应的电容值。当电压从VDS(n)增加到VDS(n+1)时,例如从1V增加到1.5V,增加的Qoss可以由下式计算:

7.png


使用上述方法,计算的AON6162的VDS-Eoss曲线如图4所示。


8.webp.jpg
图4:AON6162的Eoss曲线

上述方法中有一些误差,分度越细,误差越小。

------微信公众号   融创芯城(一站式电子元器件、PCB/PCBA购买,项目众包,方案共享平台)

回复

使用道具 举报

您需要登录后才可以回帖 登录 | 立即注册

本版积分规则

小黑屋|51黑电子论坛 |51黑电子论坛6群 QQ 管理员QQ:125739409;技术交流QQ群281945664

Powered by 单片机教程网

快速回复 返回顶部 返回列表